На валютном рынке Forex часть валютных пар движется в одном направлении, другая часть в противоположном направлении. Корреляция - это статистическая взаимосвязь двух или нескольких валютных пар на валютном рынке. Многие валюты связаны между собой, эту связь можно использовать для анализа и успешной торговли. Корреляцию можно использовать для расширения форекс портфеля и профиля риска. Можно ее использовать и для хеджирования позиций.
Друзья рекомендую к прочтению также и другую статью о корреляции
Корреляция валют показывает в одном направлении или в разных направлениях движутся те или иные пары. Можно вычислить коэффициент корреляции, это число будет от минус единицы до единицы. Давайте рассмотрим три валютных пары Евро-Доллар, Фунт-Доллар и Доллар-Франк. Смотрим первые два пары, если их коэффициент больше 0.75, то это говорит, что пары довольно сильно коррелируют, если пара Фунт-Доллар падает, то пара Евро-Доллар скорее всего также падает. Если у трейдера открыт ордер на первой паре и трейдер открывает еще один ордер на второй паре, то это увеличит риск и окажет отрицательное влияние на диверсификацию портфеля. В другом случае коэффициент корреляции может быть отрицательным, рассмотрим вторую и третью пары, отрицательный коэффициент будет говорить о том, что если пара Фунт-Долл падает, то третья пара, скорее всего двигается вверх. В этом случае, если у трейдера открыт ордер на паре Евро-Доллар и он откроет ордер на Доллар-Франк, то данная ставка может быть использована для хеджирования длинной позиции. Корреляция может быть близкой к нулю, скорее всего такие пары будут двигаться не зависимо друг от друга.
Коэффициент корреляции не может быть всегда постоянным. Важно помнить, что денежная политика в странах может меняться. Может меняться политическая и экономическая ситуация.
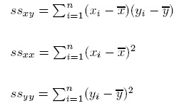
Как вычислить коэффициент корреляции?
Коэффициент корреляции двух пар вычисляется по формуле:

Где:

Положительный коэффициент означает, что пары идут в одном направлении, отрицательный говорит, что цены валют идут в противоположном друг к другу направлении, т.е. если одна пара идет вниз, то другая идет вверх.
Приведем значения коэффициентов корреляции:
- От 0.00 до 0.19 - очень слабая корреляция.
- От 0.20 до 0.39 - низкая корреляция.
- От 0.40 до 0.69 - умеренная корреляция.
- От 0.70 до 0.89 - высокая корреляция.
- От 0.90 до 1.00 - очень сильная корреляция.
То же самое можно посмотреть и для отрицательных значений коэффициента корреляции.